我院陆金成老师在物理学期刊Phys. Rev. B上发表研究工作,相关成果题目为“Coherence-enhanced thermodynamic performance in a periodically driven inelastic heat engine”,DOI: 10.1103/PhysRevB.109.125407。
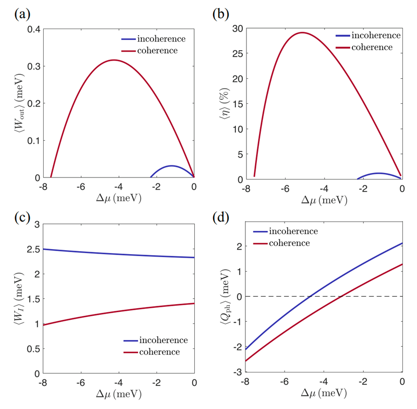
该研究工作应用量子主方程结合全计数统计方法,研究了量子相干效应对周期性驱动的非弹性热机的作用。证明了非弹性量子热机相较于弹性热机在热力学性能上具有显著优势。此外,我们发现非弹性电流、输出功以及效率可以通过量子相干得到增强。特别需要指出的是,热力学几何效应在实现产生的输出功和能量转换效率的最大值中起到了关键作用。量子相干增强的贝里曲率揭示了周期性驱动的非弹性热机的潜在机制。我们的这个工作能为通过量子相干效应和非弹性散射过程进一步理解和优化周期性驱动的热机提供一些指导。

图1. 三端口量子热机的在相干输运和非相干输运下的性能比较,从图中可以发现,量子相干效应可以提高周期性驱动非弹性量子热机的输出功和能量转换效率。