我院方宇副教授团队在物理类top及Nature index期刊Applied Physics Letters上发表最新研究工作,相关成果题为“Carrier trapping and recombination at carbon defects in bulk GaN crystals grown by HVPE”,DOI: 10.1063/5.0040641。
该工作重点解决了GaN中普遍存在的碳杂质对光生载流子的俘获及复合作用,证明了碳替位氮(CN)的两种电荷态(−1和0)可以先后对光生载流子进行俘获,由此构建了GaN中的CN缺陷的双俘获模型。确定了CN‑缺陷对载流子的俘获机理和俘获系数,这帮助我们更好的从材料结构优化、掺杂浓度和载流子注入浓度调控等方面共同考虑来进一步提升基于GaN的发光二极管等光电子器件的效率及性能。

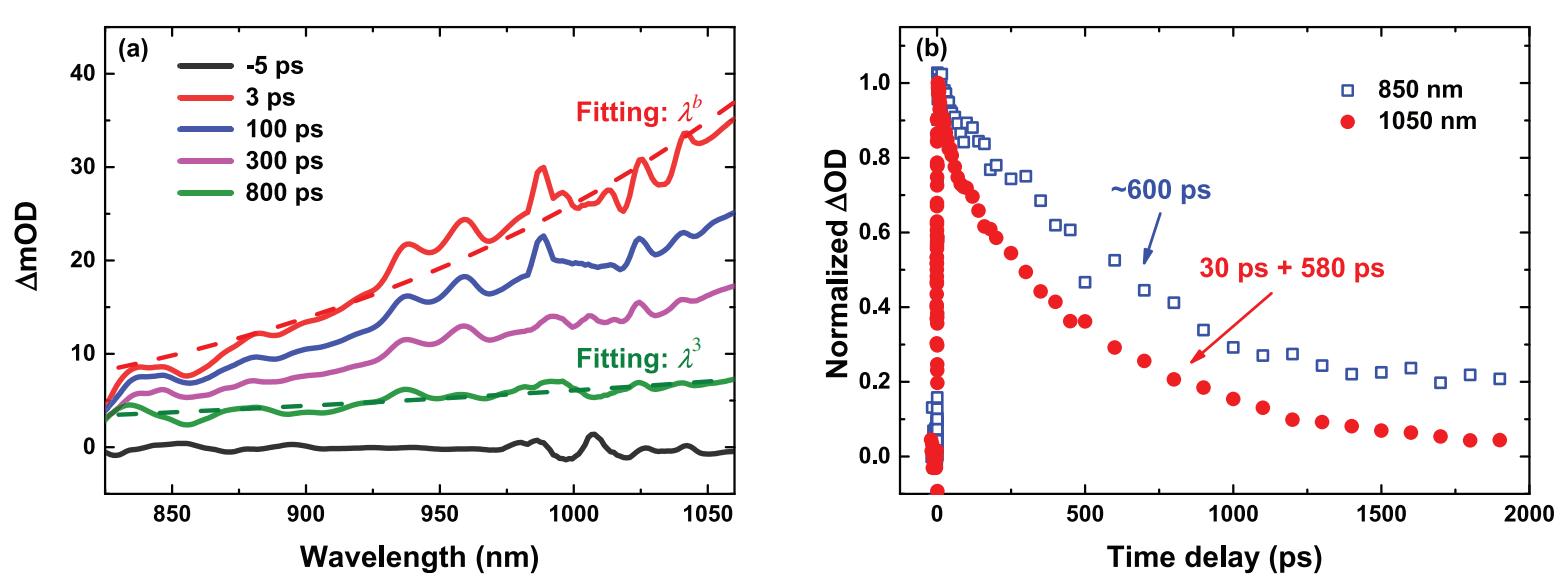
图1.(a)GaN: Ge样品在双光子激发下的瞬态吸收光谱,虚线为利用λb关系拟合曲线;(b)在850 nm和1050 nm探测波长下的归一化的吸收衰减动力学。