我院方宇副教授团队在物理类Top及Nature index期刊Applied Physics Letters上发表题为“Ultrafast all-optical modulation in Fe-doped GaN at 1.31 and 1.55 μm with high contrast and ultralow power”的研究论文,DOI: 10.1063/1.4980090,并被选为Editor's Pick(编辑精选)文章。
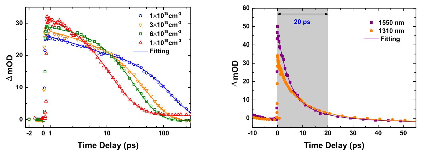
该工作不仅在实验上探究了GaN: Fe在通讯波段的载流子动力学特性,还从半导体能带角度阐述了载流子的瞬态吸收和复合机制。证明了GaN: Fe在全光开关领域的适用性,实现了“以光控光”的功能,载流子的复合寿命,即光控开关时间可以缩短至10 ps以下,对应的调制速率可快至50 GHz。在0.5 mJ/cm2 的超低泵浦能流下,光开关调制深度可高达50%,且不会受到Fe掺杂浓度的提高而降低。该工作给过渡金属掺杂宽禁带半导体在未来集成光子器件领域的应用提供了重要的参考。

图1. 不同铁掺杂浓度下的GaN瞬态吸收动力学及全光调制曲线