近日,我院姜昱丞副教授课题组在异质结的类铁电特性研究方面取得突破,通过构建具有近一维界面的垂直侧壁范德华电子气异质结(Black phosphorus/Quasi-two dimensional electron gas),在非铁电材料体系中观察到了类似铁电的物理特性,包括电滞回线、非易失性阻变、PUND电流、热释电等。通过构建理论模型,讨论了长寿命非平衡载流子对异质结空间电荷区重构的重要作用,发现界面非易失性极化可以表现出与传统铁电相同的物理规律,从而揭示了其类铁电行为的物理本质。相关研究成果以“Observation of Electric Hysteresis, Polarization Oscillation, and Pyroelectricity in Nonferroelectric p-n Heterojunctions”为题发表在《Physical Review Letters》期刊上(Phys. Rev. Lett. 130, 196801,2023),DOI: 10.1103/PhysRevLett.130.196801。
电极化的非易失性改变广泛报道于铁电材料。基于电偶极子的有序排列,铁电体可表现出自发电极化,并且通过施加外部电场现电极化翻转。非中心对称结构是实现铁电性的关键。为了实现这一目标,许多方法被采用来打破晶体的中心对称结构,如晶格扭曲、层间滑动、应变和掺杂等。与铁电体中的体极化相比,PN异质结构中的界面电极化取决于空间电荷的分布,而不是电偶极子。通常,由于主要载流子的完全耗尽,在界面处感应出空间电荷区(SCR)。基于具有恒定界面电极化的SCR,PN异质结构中的界面产生了许多特别的物理特性,如整流、光电效应、电致发光等。通过载流子的注入改变SCR的宽度,引起内建电势的改变,可短暂地表现出类似电极化翻转的性质。但是,由于载流子的寿命的限制,在移除外加电场后,界面会很快恢复至本征内建电势,导致内建电势的改变是易失性的。为了实现内置电势的非易失性改变,合理的策略是通过偏置电压诱发长寿命的非平衡载流子(non-equilibrium carriers, NECs)填充SCR。这会引起SCR的重构,而长寿命的NECs不会立即复合,最终会导致非易失性界面极化改变的出现。
研究团队使用Ar+离子轰击辅助方法在SrTiO3(STO)构建了具有准一维界面黑磷(BP)和准二维电子气(Q2DEG)范德华(vdW)异质结。准一维结可以约束自由载流子的漂移和扩散过程,从而减少非平衡载流子的复合,极大延长了非平衡载流子的寿命,使得内建电势的改变具有非易失特性。内建电势对外部电场的非易失性依赖会产生界面极化的迟滞效应。如图1,结电阻表现出对外置偏压的滞后依赖性,高阻/低阻比值达到100,该特性类似于铁电隧道结的电阻迟滞行为。

图1:(a)BP-Q2DEG异质结构的结构示意图。(b)原子显微镜图像,显示异质结的表面形貌。插图:异质结的显微镜照片。(c)在300 K时,−3–3 V的偏置范围内测量的电流-电压回线。插图:半对数电流-电压回线。箭头显示了电压变化的方向。(d)结电阻与写入电压Vwrite之间的依赖关系,Vread = 0.2 V,其中Vwrite是用1 s的脉冲宽度驱动器件的脉冲电压。Vwrite和Vread之间的等待时间为30 s。(e)在0、−5和5 V的Vwrite脉冲之后,在0–2 V的偏置范围内电流-电压曲线。箭头标记开启电压。
该异质结的类铁电效应中电极化的改变是通过SCR的重构来实现,机理不同于铁电中电偶极子的反转。然而,不同的物理过程导致相似的电极化改变结果,从而导致相似的铁电行为。BP-Q2DEG异质结中的电阻迟滞行为和PUND测试展现异质结的类铁电特性,见图2。未复合的NECs可导致BP-Q2DEG界面极化发生非易失性改变,通过测量不同外界偏压下的内建电势,得到相应的迟滞曲线,并量化了偏压和内建电势之间的函数关系。BP-Q2DEG异质结在300 K温度下可观察到明显的PUND电流,并在-0.35 V达到峰值。上述物理过程进一步佐证了BP-Q2DEG异质结具有类铁电特性。

图2:(a) 显示正常和类铁电异质结的内置电势对偏置电压的依赖性的示意图。(b)在300K下的Vbi偏置迟滞回线,表现出非易失性电极化。(c) 通过PUND方法检测到的位移电流。电压脉冲的间隔时间为0.2s。PUND电流的二阶导数(d2I=dV2)如左上和右下所示,以排除背景电流的影响。
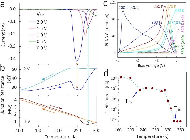
进一步探究BP-Q2DEG异质结的铁电性质,发现异质结的热释电现象,见图3。将温度从100 K升至300 K过程中,观测到明显的热释电电流,该电流的大小表明了异质结界面极化程度的不同。该异质结的热释电显示出与铁电机制不同的行为,其热释电温度随着极化电压的增加而减小,而对于一般的铁电体,其热释电温度一般与其铁电相变温度相关,而不取决于电极化度强度。这意味异质结中的类铁电特性既与普通铁电有着诸多相似之处,又在铁电行为的细节上有所不同。

图3:(a) 在施加不同的极化电压后,从100到 300 K加热时的热释电响应。电极化是通过在0–2 V的偏压范围内将异质结冷却到100 K来实现。(b) 在1和2 V的偏置电压下,结电阻与温度之间的函数关系,其中温度下先降到100 K,然后上升到300 K。(c)在不同温度下的PUND响应。(d) PUND电流的温度依赖性,显示了第一和第二类铁电转变温度。